久久小说

学院公告

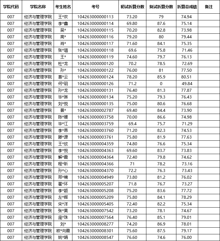
【公示】久久小说 久久小说 2023年硕士研究生复试成绩公示2

  • 作者:于杰
  • 来源:
  • 发布时间:2023-04-04
  • 点击量:

按照学校要求,经学院复试考核,现对久久小说 2023年硕士研究生复试成绩予以公示,若对复试成绩有异议,请联系学院。
      于老师 0532-88957399


久久小说
2023年4月4日

2023级金融专硕复试成绩公示

2023级工业工程与管理专硕复试成绩公示


2023级物流工程与管理专硕复试成绩公示


2023级物流工程与管理专硕复试成绩公示(士兵计划)


2023级工业工程与管理专硕复试成绩公示(士兵计划)